(通讯员 王晓东)公司太阳成集团tyc234cc软件工程研究所刘西洋教授团队,在公司“软件工程”团队建设支持下,与上海龙华医院于观贞教授、长海医院陈颖教授等团队合作,开展了胃癌淋巴结转移预后预测的AI研究,历时三年,近期以西电第一作者单位在Nature Communications (IF=12.1)发表成果“Predicting gastric cancer outcome from resected lymph node histopathology images using deep learning”,研发了针对胃癌淋巴结病理临床诊断与精准亚分期的AI系统。

肿瘤淋巴结转移分析是基于TNM分期的癌症治疗预后估计的关键环节之一。目前,临床主要是采用目测检查淋巴结的组织切片方式,这个过程需要对每个患者检查至少十几个淋巴结,非常耗时且很容易因无法识别肿瘤淋巴结微转移而导致漏诊。此外,即使在同一N分期中,患者的预后也存在巨大差异。实际上,病理分析是肿瘤疾病诊断的“金标准”,病理分析对患者的预后分型分期至关重要。然而,由于人眼观察的局限性,病理图像体积巨大,这些潜在信息一直未被充分挖掘和量化。病理数字化扫描技术与人工智能的发展,为病理信息的充分挖掘提供了强有力的技术手段。

图1基于深度学习的淋巴结病理组织分析框架
在这项研究中,研究人员使用大规模临床胃癌淋巴结转移病理组织切片数据(19,705个淋巴结)作为研究队列。首先,将淋巴结外的组织区域通过分割网络进行剔除。然后,结合主动学习,并引入淋巴结组织结构的先验知识的基础上,将非肿瘤细胞区域中容易被误识别的包括窦组织、脂肪细胞等进一步细化标注,从而实现仅用少量标注的样本集,构建更鲁棒可靠、临床可用的肿瘤区域识别模型。

图2基于淋巴结组织结构的细粒度密集标注的示例

图3淋巴结临床病理人工智能诊断系统可准确识别微转移
在此基础上,研发了胃癌淋巴结临床病理人工智能辅助诊断系统。通过双中心回顾性临床试验,表明该系统可显著提升病理医生诊断胃癌淋巴结病理切片的效率,同时避免大量由肿瘤淋巴结微转移引起的漏诊。
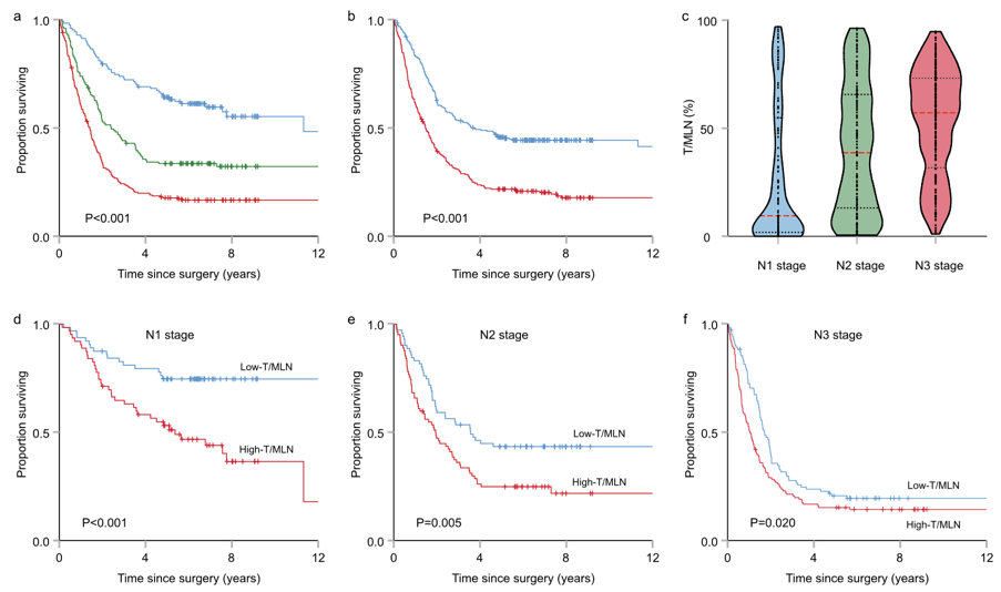
值得注意的是,该研究不仅仅是识别肿瘤区域,还探索了基于准确量化病理图像信息基础上的预后信息挖掘。具体的,研究人员结合完整的临床随访记录数据,提取预后预测相关定量可解释的新指标——肿瘤细胞区域占转移淋巴结的区域比值T/MLN。通过Kaplan-Meier分析证实该指标可以有效地将N分期的每个阶段分为高风险与低风险组,显著改善临床分期系统的预后准确性。

图4预后新指标T/MLN可将N分期进一步亚分期
目前,合作研究团队正在筹备开展泛癌淋巴结研究队列,从胃癌拓展到肠癌等更多肿瘤类型,在更多医院开展多中心临床验证,以期推动临床诊疗指南的改进,促进精准医疗。
该成果由太阳成集团tyc234cc软件工程研究所医学人工智能实验室刘西洋教授团队、上海龙华医院于观贞教授团队、长海医院陈颖教授、301医院高云姝教授、江西省肿瘤医院张慧卿教授团队、西北工业大学艾丽蓉教授团队等共同参与完成。太阳成集团tyc234cc王晓东、长海医院陈颖教授、301医院高云姝教授、江西省肿瘤医院张慧卿教授为论文共同第一作者。

此外,在计算病理学领域,刘西洋教授团队还与复旦大学附属中山医院高强教授团队深度合作,针对肝癌病理图像与临床信息,探索基于深度学习的癌症预后预测与病理图像相关特征挖掘的新方法。研究人员通过中山医院大规模的肝癌病理组织图像数据集,构建了肝癌病理组织分类与预后预测系统,显著提高了患者预后生存风险的预测准确性。使用TCGA-HCC数据集作为独立验证集,验证了该系统的泛化能力。论文“Exploring prognostic indicators in the pathological images of hepatocellular carcinoma based on deep learning”于2020年9月在肠胃病学权威期刊Gut(IF=19.8)发表。
上述研究成果得到了国家重点研发计划的支撑。据悉,太阳成集团tyc234cc软件工程研究所围绕“软件工程”学科中“领域软件工程”学科方向,长期从事医学人工智能领域的研究,与中山大学眼科中心、复旦大学附属中山医院、海军军医大学附属长海医院以及空军军医大学西京医院等国内知名医院建立了长期深入的合作。团队坚持临床需求驱动,在高效医学影像分析、计算病理学以及复杂与不确定条件下的临床决策支持等方向,与医学团队开展了深入的医工交叉研究,并在NatureBiomedical Engineering(2020)、Gut(2020)、NatureCommunications(2021)等学术期刊发表论文多篇。
原文链接:https://www.nature.com/articles/s41467-021-21674-7(NatureCommunications 2021)
https://gut.bmj.com/content/early/2020/09/29/gutjnl-2020-320930(Gut 2020)